Kinematics is the study of the motion of an object without consideration of the force or energy that cause the motion. This is one of the first topics covered in most physics and physical science courses and is addressed in NGSS PS2: Forces and Motion:
- A: Forces and Motion
- B: Types of Interactions
- C: Stability and Instability in Physical Systems
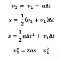
The motion of objects is described mathematically with four variables and a few equations:
Where:
s is the displacement of the object
a is the acceleration of the object; the rate of change of velocity
v1 is the velocity of the object at time t1
v2 is the velocity of the object at time t2
∆t is the time interval between time t2 and time t1
Working problems with constant acceleration can be challenging. Use the following activity to introduce the concept of constant acceleration in a general physics, conceptual physics, or physical science class.
Background
Driving Question
How are the mathematical equations that model the motion of objects developed?
Objective
Objective: analyze the motion of a ball rolling down a ramp, similar to Galileo’s experiment.
Materials
- Foam Board, 5” W x 3 ft L
- Steel Ball, 1” diam
- Acrylic Ball, 1” diam
- 10 Rubber Bands
- Tape Measure or Meter Stick
- Pencil or Marker
- Timer or Stopwatch*
- 2 Photogates (optional)
- Motion Sensor (optional)
- Computer with Spreadsheet Software (optional)
- Graphing Calculator (optional)
*Another option for collecting and analyzing data is to record video of the ball as it rolls down the ramp. Most video software applications will allow you to advance the video slowly and will have a clock for recording time data.
Provide students with one piece of foam board, 10 rubber bands, and 2 or more balls, spheres, or marbles of the same diameter but different masses.
Procedure
- Draw a series of lines at 4” intervals across the short dimension (width) of the foam board.
- Place rubber bands around the foam board so that each rubber band covers one of the lines. See Fig. 1.
- Set up the foam board as a ramp by placing one end on a book and the other end on a level surface. The angle between the board and the level surface should be 5° to 15°.
- Roll one of the balls down the ramp and listen to the sounds made as the ball crosses each rubber band. Try to roll the ball down the ramp as straight as possible. Catch the ball when it reaches the lower end of the ramp.
The time interval between the sounds will decrease as the ball rolls down the ramp because the ball picks up speed, it accelerates. The increasing frequency of the sounds as the ball crosses the evenly spaced rubber bands means the ball is covering the same distance in increasingly shorter time intervals.
Now challenge students to change the placement of the rubber bands on the foam board, spacing them in such a way that the amount of time it takes the ball to travel between the rubber bands is the same. The amount of space between each successive rubber band should increase so the ball covers a greater distance over equal time intervals.
For students who need help, here are some suggestions to guide them toward the correct spacing (see Fig. 2).
- Method 1: Remove all rubber bands from the foam board. As before, set up the foam board as a ramp. Place the ball on the ramp about 4” from the lower end of the board. Release the ball and measure the time it takes the ball to reach the bottom of the ramp. Record the time. Then place the ball 8” from the bottom. Again, release the ball and record the time it takes the ball to roll to the end of the ramp. Continue the process, each time increasing the distance of the ball from the end of the ramp by 4”. Have students graph the data, with the time values on the x axis and the distance on the y axis.
- Method 2: Another option is to use a motion sensor. Set the motion sensor at the bottom end of the ramp with the sensor directed up the ramp. Set up the probeware and the supporting software to collect data from the rolling ball and generate a graph of distance vs. time.
Students with some background in algebra and geometry should recognize the shape of the graph generated by either method as a parabola. This means the equation that describes the motion of the ball will be in the general form of a parabola.
The shape of the parabola will depend on the angle at which students set up their ramp. The exact equation for the motion of the ball is not important. What is important is that the students’ graph has distance on the y axis and time on the x axis. Therefore, the distance that the ball travels is proportional to the time squared.
The correct solution should have the rubber bands spaced according to the data in Table 1. Each distance is measured from the same starting point.
Table I
| 1 | 4 | 9 | 16 | 25 | 36 | 49 | 64 | 81 |
This activity provides a good introduction to kinematics and classical mechanics. It is also a good way to introduce the concept of acceleration to students with all levels of math skills. For a more compact set-up, look at the Visual Scientifics Kinematics series. Multiple experiments can be completed on one base that is laid out in a grid format and holds individual experimental apparatus for motion, collisions, projectile motion, pendulum, and loop for conservation of energy experiments.
Emmette Cox
Product Management Coordinator for Physical Science
*Next Generation Science Standards® is a registered trademark of Achieve. Neither Achieve nor the lead states and partners that developed the Next Generation Science Standards were involved in the production of, and do not endorse, these products.
About The Author
Carolina Staff
Carolina is teamed with teachers and continually provides valuable resources–articles, activities, and how-to videos–to help teachers in their classroom.





